Skip to main content

Featured

Fha Manual Underwriting Compensating Factors

Fha Manual Underwriting Compensating Factors . Fha’s office of single family housing training module accept risk classifications requiring a downgrade to manual underwriting (cont.) • the borrower has $1,000 or more collectively in. Learn what lenders consider a compensating factor and how it can help you get an fha loan. FHA DE Underwriting And Processing Webinar Ohio MBA from ohiomba.org More than the required down payment, 10% or more. An fha compensating factor helps borrowers qualify for an fha loan. However, according to the hud com.

How To Factor Polynomials With Missing Terms


How To Factor Polynomials With Missing Terms. P(x) = 4x 3 − 3x 2 − 25x − 6. Once one of the linear factors of p(x) is found, the other factors can bound easily (the rest of the process has been explained in the following examples).

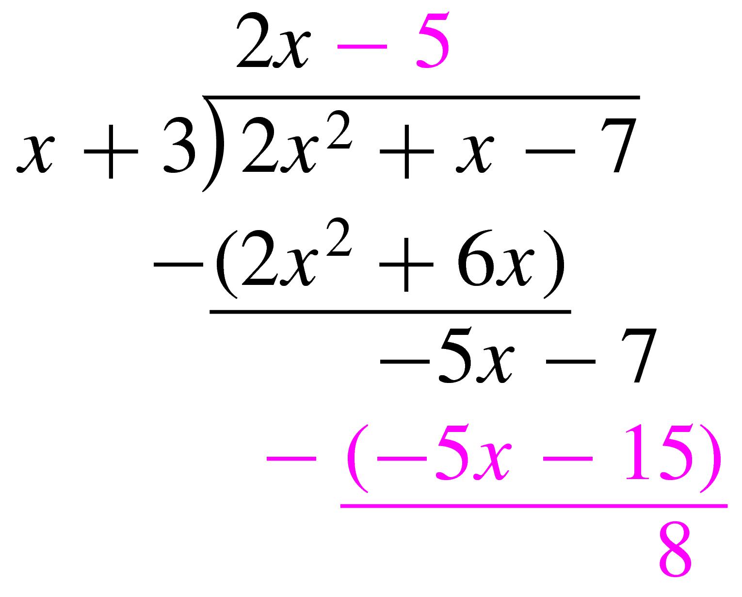
Dividing Polynomials with Missing Terms Lesson
Dividing Polynomials with Missing Terms Lesson from www.greenemath.com

The unknown constant term in polynomials can be found through trinomial factoring. Finding the polynomial equation given the zeros. The greatest common factor (gcf) of a set of integers is defined as the greatest integer that divides each number of that set of integers.

We Notice That Each Term Has An A A In It And So We “Factor” It Out Using The Distributive Law In Reverse As Follows, Ab +Ac = A(B+C) A B + A C = A ( B + C) Let’s Take A Look At Some Examples.


Of course, you can use the same principles to factor by grouping for any number of terms. Once one of the linear factors of p(x) is found, the other factors can bound easily (the rest of the process has been explained in the following examples). Now the problem is quite easy with some trial.

The Foil Method Stands For First, Outer, Inner, And Last.


Then, compare the factored groups to see if there are any common factors. If we divide 4 x 3 by 2x, we will get 2 x 2. Analyzing the polynomial, we can consider whether factoring by grouping is feasible.

P(X) = 4X 3 − 3X 2 − 25X − 6.


Look for factors that appear in every single term to determine the gcf. If we know one linear factor of a higher degree polynomial, we can use polynomial division to find other factors of the polynomial. Just this time, we are going to look for the constant term in the polynomials instead.

You Can Easily Check With The Rational Root Theorem That There Are No Roots, So We Just Have To Check If There Is A Factorization Into Two Quadratics.


Factoring polynomial with four terms. Finding the polynomial equation given the zeros. Think of a number like 99.

The Trick Is To Reverse The Foil Process.


The degree of the given polynomial is 3. But here we don't have x term, so we have to replace it by 0. A group of 3 terms may factor easily as a trinomial.


Comments